W tym zadaniu napisz, czy kwas askorbinowy jest związkiem optycznie czynnym i uzasadnij swoją odpowiedź.
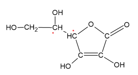
Kwas askorbinowy jest związkiem optycznie czynnym, ponieważ posiada w cząsteczce dwa asymetryczne atomy węgla.
Gwiazdkami są oznaczone asymetryczne atomy węgla.
Zadanie 1.
Zadanie 2.
Podpunkt a)
Podpunkt b)
Podpunkt c)
Podpunkt d)
Zadanie 3.
Zadanie 4.
Zadanie 5.
Zadanie 6.
Zadanie 7.
Zadanie 8.
Zadanie 9.
Podpunkt e)
Podpunkt f)
Podpunkt g)
Zadanie 10.
Zadanie 11.
Pytanie 1.
Pytanie 2.
Pytanie 3.
Pytanie 4.
Pytanie 5.