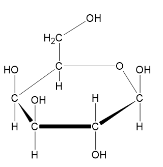
W tym zadaniu uzupełnij schemat przedstawiający pierścieniową formę galaktozy.
Rozwiązanie
Wyjaśnienie
Monosacharydy, gdzie hydroksylowa grupa na najniżej usytuowanym chiralnym atomie węgla jest po stronie prawej – są D-cukrami, a po lewej stronie – są L-cukrami.
W formie β grupa –OH przy pierwszym atomie węgla jest nad płaszczyzną pierścienia.