1)
2)
3)
4)
5)
Etyn w reakcji trimeryzacji daje benzen:
Benzen w reakcji z chlorem w obecności chlorku żelaza(III) daje chlorobenzen:
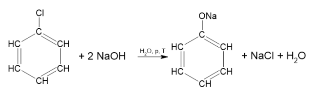
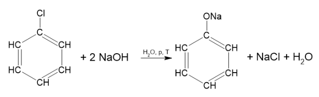
Z chlorobenzenu można otrzymać fenolan sodu:
Fenolan sodu w reakcji z kwasem solnym daje fenol:
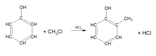
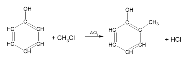
Fenol reaguje z chlorometanem pod wpływem chlorku glinu:
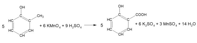
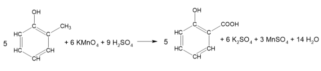
Powstały produkt reaguje z kolei z manganianem(VII) potasu: