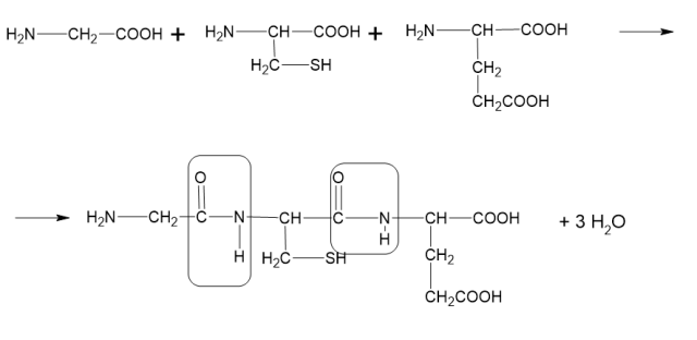
W tym zadaniu zapisz równanie reakcji powstawania tripeptydu, a następnie zaznacz wiązania peptydowe.
Na skutek kondensacji glicyny, cysteiny i kwasu glutaminowego powstaje tri peptyd Gly-Cys-Glu.
Zadanie 1.
Zadanie 2.
Podpunkt a)
Podpunkt b)
Podpunkt c)
Podpunkt d)
Zadanie 3.
Zadanie 4.
Zadanie 5.
Zadanie 6.
Zadanie 7.
Zadanie 8.
Zadanie 9.
Podpunkt e)
Podpunkt f)
Podpunkt g)
Zadanie 10.
Zadanie 11.
Pytanie 1.
Pytanie 2.
Pytanie 3.
Pytanie 4.
Pytanie 5.