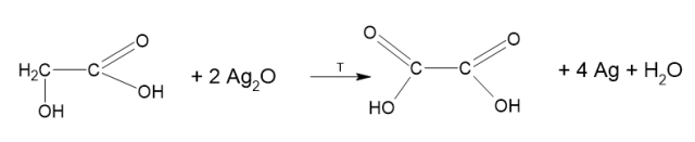
W tym zadaniu zapisz równanie reakcji utleniania kwasu hydroksyetanowego.
W tej reakcji powstaje dodatkowo srebro.
Zadanie 1.
Zadanie 2.
Podpunkt a)
Podpunkt b)
Podpunkt c)
Podpunkt d)
Zadanie 3.
Zadanie 4.
Zadanie 5.
Zadanie 6.
Zadanie 7.
Zadanie 8.
Zadanie 9.
Podpunkt e)
Podpunkt f)
Podpunkt g)
Zadanie 10.
Zadanie 11.
Pytanie 1.
Pytanie 2.
Pytanie 3.
Pytanie 4.
Pytanie 5.