W tym zadaniu oblicz liczbę moli sacharozy potrzebną do sporządzenia opisanego syropu.
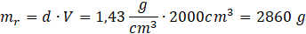
Na początku oblicz masę roztworu:
Mając masę roztworu i stężenie procentowe, możesz obliczyć masę substancji:
Teraz możesz obliczyć, ile moli stanowi tę masę:
Zadanie 1.
Zadanie 2.
Podpunkt a)
Podpunkt b)
Podpunkt c)
Podpunkt d)
Zadanie 3.
Zadanie 4.
Zadanie 5.
Zadanie 6.
Zadanie 7.
Zadanie 8.
Zadanie 9.
Podpunkt e)
Podpunkt f)
Podpunkt g)
Zadanie 10.
Zadanie 11.
Pytanie 1.
Pytanie 2.
Pytanie 3.
Pytanie 4.
Pytanie 5.