1)
2)
3)
4)
Tlenek węgla(IV) w reakcji z wodą pod wpływem światła i chlorofilu daje D-glukozę.
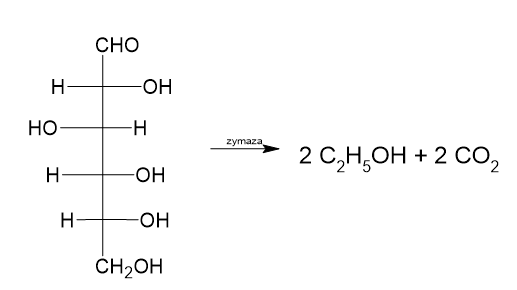
D-glukoza pod wpływem zymazy rozkłada się na alkohol etylowy i tlenek węgla(IV).
Alkohol etylowy ulega fermentacji i powstaje kwas octowy.
Kwas octowy w reakcji z tlenem daje tlenek węgla(IV) i wodę.