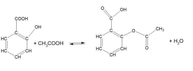
Kwas o-hydroksybenzoesowy – aromatyczny hydroksykwas
Jest to reakcja estryfikacji. Jako jeden substrat widać kwas octowy, więc brakuje alkoholu. Patrząc na produkt i miejsce, gdzie znajduje się wiązanie estrowe, można w prosty sposób ustalić wzór alkoholu.