W tym zadaniu oblicz liczbę reszt glukozowych cząsteczki celulozy.
Na początku zapisz równanie reakcji:
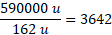
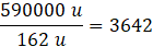
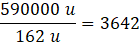
Po obliczeniu masy jednej podjednostki podziel masę cząsteczkową celulozy przez masę cząsteczkową podjednostki:
Zadanie 1.
Zadanie 2.
Podpunkt a)
Podpunkt b)
Podpunkt c)
Podpunkt d)
Zadanie 3.
Zadanie 4.
Zadanie 5.
Zadanie 6.
Zadanie 7.
Zadanie 8.
Zadanie 9.
Podpunkt e)
Podpunkt f)
Podpunkt g)
Zadanie 10.
Zadanie 11.
Pytanie 1.
Pytanie 2.
Pytanie 3.
Pytanie 4.
Pytanie 5.