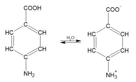
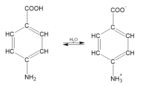
W tym zadaniu zapisz równanie reakcji powstawania jonu obojnaczego aminokwasu.
Jon obojnaczy powstaje na skutek przeniesienia kationu H+ z grupy karboksylowej do grupy aminowej.
Zadanie 1.
Zadanie 2.
Podpunkt a)
Podpunkt b)
Podpunkt c)
Podpunkt d)
Zadanie 3.
Zadanie 4.
Zadanie 5.
Zadanie 6.
Zadanie 7.
Zadanie 8.
Zadanie 9.
Podpunkt e)
Podpunkt f)
Podpunkt g)
Zadanie 10.
Zadanie 11.
Pytanie 1.
Pytanie 2.
Pytanie 3.
Pytanie 4.
Pytanie 5.