a)
b)
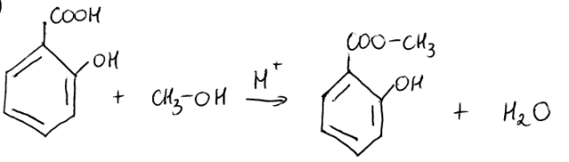
Kwas salicylowy jest hydroksykwasem z przyłączonymi obiema grupami funkcyjnymi do pierścienia aromatycznego. Jego reakcja z kwasem octowym pozwala na drodze estryfikacji otrzymać kwas acetyloasalicylowy a z metanolem również w wyniku estryfikacji – salicylan metylu.