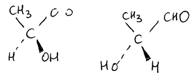
Podaj stereochemiczne wzory aldehydu o wzorze sumarycznym C3H6O2
Aby związek wykazywał czynność optyczną, chiralny atom węgla musi być połączony z czterema różnymi podstawnikami.
Zadanie 1.
Zadanie 2.
Zadanie 3.
Zadanie 4.
Zadanie 5.
Zadanie 6.
Zadanie 7.
Zadanie 8.
Zadanie 9.
Zadanie 10.