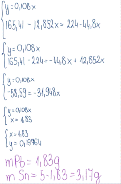
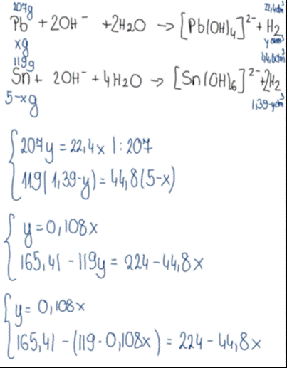
Wyznacz procentowy udział metali w stopie, wiedząc, że po zakończeniu reakcji w roztworze znajdują się jony tetrahydroksyplumbianowe i heksahydroksycynianowe. Otrzymany wynik zaokrąglij do liczb całkowitych.
Rozwiązanie
Wyjaśnienie
1 mol GAZU w warunkach normalnych zajmuje objętość 22,4dm3.