1.Zapisujemy równanie reakcji dysocjacji analizowanej soli:
2. Wprowadzamy potencjalne stężenie reagentów (niewiadoma), biorąc pod uwagę ich stosunek molowy:
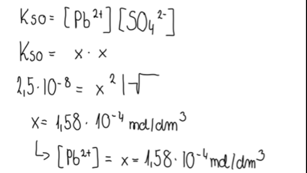
3. Zapisujemy wyrażenie na iloczyn rozpuszczalności, jako iloczyn stężeń jonów, na które rozpada się ta sól:
4. Podstawiamy niewiadome z punktu 2. oraz wartość KSO z treści zadania celem obliczenia stężenia poszczególnych jonów:
5. Obliczamy liczbę moli jonów Pb2+ w zadanej objętości roztworu, a następnie przeliczamy owe mole na masę: