| Gaz 1 | Tlenek węgla(IV) |
| Gaz 2 | Metan |
| Gaz 3 | Siarkowodór |
| Gaz 4 | Amoniak |
| Gaz 5 | Tlenek azotu(V) |
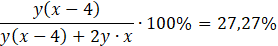
Gaz 1 – obliczenia:
Wzór =
Wzór gazu 1:
Gaz 2 – równanie reakcji:
Jest to metan.