Jak możesz przeliczyć prędkość z
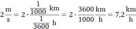
Wiemy, że 1 kilometr to 1000 metrów, a jedna godzina to 3600 sekund. Na przykład:
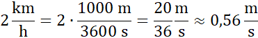
Jeśli chcemy przeliczyć na odwrót:
Jeden metr to jedna tysięczna kilometra, a jedna sekunda to
By przeliczyć wszystkie jednostki prędkości, należy pomnożyć wartość prędkości w starej jednostce przez ułamek, w którym mamy przeliczenia między starymi i nowymi jednostkami drogi i czasu.
Ćwiczenie 1.
11Ćwiczenie 2.
12Ćwiczenie 4.
14Ćwiczenie 5.
17Zadanie 4.
18Ćwiczenie 2.
21Ćwiczenie 5.
22Zadanie 3.
25Zadanie 4.
25Zadanie więcej 1.
26Ćwiczenie 2.
29Zadanie 4.
32Zadanie 5.
32Ćwiczenie 1.
34Ćwiczenie 2.
35Ćwiczenie 3.
35Ćwiczenie 4.
36Ćwiczenie 5.
37Zadanie 1.
38Zadanie 3.
39Zadanie 4.
39Zadanie więcej 1.
40Zadanie 1.
41Zadanie 2.
41Zadanie 3.
41Zadanie 4.
41Ćwiczenie 1.
45Ćwiczenie 2.
45Ćwiczenie 4.
45Ćwiczenie 5.
45Ćwiczenie 6.
46Ćwiczenie 7.
46