Oblicz prędkość samochodu o długości 4 m. W odstępie 1 sekundy zrobiono zdjęcia samochodu pokazane na rysunku.
Droga:
1,5 cm na rysunku odpowiada 4 m w rzeczywistości.
Odległość, jaką pokonuje samochód, wynosi 4,5 cm.
Droga w rzeczywistości:
Czas:
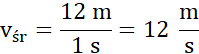
Prędkość średnia:
Odpowiedź D.
c
Zauważ, że odległość podana na rysunku jest w pomniejszeniu. Odległość, jaką przebędzie samochód w sekundę, będzie odległością od końca pierwszego samochodu do końca drugiego samochodu.
Ćwiczenie 1.
11Ćwiczenie 2.
12Ćwiczenie 4.
14Ćwiczenie 5.
17Zadanie 4.
18Ćwiczenie 2.
21Ćwiczenie 5.
22Zadanie 3.
25Zadanie 4.
25Zadanie więcej 1.
26Ćwiczenie 2.
29Zadanie 4.
32Zadanie 5.
32Ćwiczenie 1.
34Ćwiczenie 2.
35Ćwiczenie 3.
35Ćwiczenie 4.
36Ćwiczenie 5.
37Zadanie 1.
38Zadanie 3.
39Zadanie 4.
39Zadanie więcej 1.
40Zadanie 1.
41Zadanie 2.
41Zadanie 3.
41Zadanie 4.
41Ćwiczenie 1.
45Ćwiczenie 2.
45Ćwiczenie 4.
45Ćwiczenie 5.
45Ćwiczenie 6.
46Ćwiczenie 7.
46