Policz przyspieszenie rowerzysty, który rozpędza się do prędkości
Zmiana prędkości:
Czas:
Przyspieszenie:
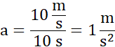
Prędkość w ciągu jednej sekundy wzrasta o jeden metr na sekundę.
By obliczyć przyspieszenie, wykorzystaj wzór:
gdzie
t – czas [s],
a – przyspieszenie
Ćwiczenie 1.
11Ćwiczenie 2.
12Ćwiczenie 4.
14Ćwiczenie 5.
17Zadanie 4.
18Ćwiczenie 2.
21Ćwiczenie 5.
22Zadanie 3.
25Zadanie 4.
25Zadanie więcej 1.
26Ćwiczenie 2.
29Zadanie 4.
32Zadanie 5.
32Ćwiczenie 1.
34Ćwiczenie 2.
35Ćwiczenie 3.
35Ćwiczenie 4.
36Ćwiczenie 5.
37Zadanie 1.
38Zadanie 3.
39Zadanie 4.
39Zadanie więcej 1.
40Zadanie 1.
41Zadanie 2.
41Zadanie 3.
41Zadanie 4.
41Ćwiczenie 1.
45Ćwiczenie 2.
45Ćwiczenie 4.
45Ćwiczenie 5.
45Ćwiczenie 6.
46Ćwiczenie 7.
46