Oblicz przyspieszenie pociągu.
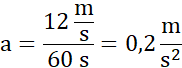
Zmiana prędkości:
Czas:
Przyspieszenie:
By obliczyć przyspieszenie, wykorzystaj wzór:
gdzie
t – czas [s],
a – przyspieszenie
Ćwiczenie 1.
11Ćwiczenie 2.
12Ćwiczenie 4.
14Ćwiczenie 5.
17Zadanie 4.
18Ćwiczenie 2.
21Ćwiczenie 5.
22Zadanie 3.
25Zadanie 4.
25Zadanie więcej 1.
26Ćwiczenie 2.
29Zadanie 4.
32Zadanie 5.
32Ćwiczenie 1.
34Ćwiczenie 2.
35Ćwiczenie 3.
35Ćwiczenie 4.
36Ćwiczenie 5.
37Zadanie 1.
38Zadanie 3.
39Zadanie 4.
39Zadanie więcej 1.
40Zadanie 1.
41Zadanie 2.
41Zadanie 3.
41Zadanie 4.
41Ćwiczenie 1.
45Ćwiczenie 2.
45Ćwiczenie 4.
45Ćwiczenie 5.
45Ćwiczenie 6.
46Ćwiczenie 7.
46