Skul.pl
  • Opracowania zadań z podręczników
  • Fizyka. Klasa 1. Podręcznik. Zakres podstawowy - rozwiązania i odpowiedzi
  • Zadanie 1.

Fizyka. Klasa 1. Podręcznik. Zakres podstawowy - rozwiązania i odpowiedzi

Podręcznik, Wydawnictwo: WSiP
Poprzednie

Zadanie 1. - strona 186

Następne

Zadanie

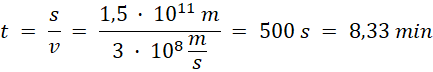
Ile czasu potrzebuje światło, aby pokonać odległość Słońce–Ziemia?

Rozwiązanie

Na pokonanie odległości Słońce−Ziemia światło potrzebuje około 8 minut.

Skul

Wyjaśnienie

Prędkość świtała:

Odległość Słońce–Ziemia:

Czas podróży światła:

Poprzednie
Następne

Fizyka - wybrane pytania

Ćwiczenie 6.8., strona 80, Fizyka. Klasa 1-3. Zakres podstawowy. Zbiór zadań - rozwiązania i odpowiedzi
Zadanie 3.46., strona 31, Fizyka. Klasa 7-8. Zbiór zadań - rozwiązania i odpowiedzi
Zadanie 11, strona 36, Fizyka. Klasy 1-3. Zakres podstawowy. Zbiór zadań - rozwiązania i odpowiedzi
Zadanie 2., strona 97, Fizyka. Fizyka z plusem. Klasa 7. Podręcznik - rozwiązania i odpowiedzi
Zadanie 8.1.17., strona 90, Zrozumieć fizykę. Klasa 2. Zakres rozszerzony. Zbiór zadań - rozwiązania i odpowiedzi
Zadanie 5.10., strona 21, Zbiór zadań z fizyki dla szkoły podstawowej. Klasa 7-8 - rozwiązania i odpowiedzi
Zadanie 21, strona 88, Fizyka. Klasy 1-3. Zakres podstawowy. Zbiór zadań - rozwiązania i odpowiedzi
Ćwiczenie 3.13., strona 40, Fizyka. Klasa 1-3. Zakres podstawowy. Zbiór zadań - rozwiązania i odpowiedzi
Zadanie 37.5, strona 120, Fizyka. Klasa 2. Zakres rozszerzony. Zbiór zadań - rozwiązania i odpowiedzi
Ćwiczenie 3.18, strona 32, Fizyka. Klasa 3. Zakres rozszerzony. Zbiór zadań - rozwiązania i odpowiedzi
REKLAMA
Skul
Zadania z tego działu
Grawitacja i astronomia
149
Układ Słoneczny
150

Zadanie 1.

155

Podpunkt a)

155

Podpunkt b)

155

Podpunkt c)

155

Zadanie 2.

155

Zadanie 3.

155

Zadanie 4.

155

Zadanie 5.

155

Zadanie 6.

155
Prawo grawitacji
156

Zadanie 1.

161

Zadanie 2.

161

Zadanie 3.

161

Zadanie 4.

161

Zadanie 5.

161
Satelity. Prędkość orbitalna
162

Zadanie 1.

168

Zadanie 2.

168

Zadanie 3.

168

Zadanie 4.

168

Zadanie 5.

168
Wyznaczanie mas planet i gwiazd
169

Zadanie 1.

172

Zadanie 2.

172

Zadanie 3.

172

Zadanie 4.

172

Zadanie 5.

172
Nieważkość i przeciążenie
173

Zadanie 1.

180

Zadanie 2.

180

Zadanie 3.

180

Zadanie 4.

180

Zadanie 5.

180
Budowa Wszechświata
181

Zadanie 1.

186

Zadanie 2.

186

Zadanie 3.

186

Zadanie 4.

186

Zadanie 5.

186
Ewolucja Wszechświata
187

Zadanie 1.

192

Zadanie 2.

192

Zadanie 3.

192

Podpunkt a)

192

Podpunkt b)

192

Zadanie 4.

192

Zadanie 5.

192
Powtórzenie działu
193

Zadanie 1.

196

Zadanie 2.

196

Zadanie 3.

196

Zadanie 4.

196

Zadanie 5.

196

Zadanie 6.

196

Zadanie 7.

196

Zadanie 8.

196
Pełny spis treści
Skul
Artboard 1
Skul.pl
  • Napisz do nas
  • FAQ
  • Mapa Serwisu
  • Google Play
  • App Store

Korzystanie z portalu oznacza akceptację Regulaminu.
Polityka prywatności. Ustawienia preferencji. Copyright: INTERIA.PL 1999-2023 Wszystkie prawa zastrzeżone.