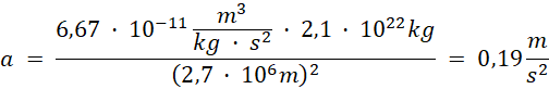
Przyspieszenie grawitacyjne na powierzchni Trytona wynosi
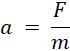
Do wyznaczenia przyspieszenia grawitacyjnego korzystamy z prawa powszechnego ciążenia:
oraz drugiej zasady dynamiki Newtona:
Podstawiając za F Fg otrzymujemy:
gdzie: G – stała grawitacji, M – masa planety, r – odległość od środka planety.
Podstawiając do wzoru wartości z treści otrzymujemy: