Skul.pl
  • Opracowania zadań z podręczników
  • Fizyka. Klasa 1. Podręcznik. Zakres podstawowy - rozwiązania i odpowiedzi
  • Zadanie 2.

Fizyka. Klasa 1. Podręcznik. Zakres podstawowy - rozwiązania i odpowiedzi

Podręcznik, Wydawnictwo: WSiP
Poprzednie

Zadanie 2. - strona 186

Następne

Zadanie

Jaki jest stosunek odległości Słońce–Neptun do odległości Słońca do najbliższej gwiazdy.

Rozwiązanie

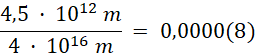
Stosunek odległości Słońce–Neptun do odległości Słońca od najbliższej gwiazdy wynosi 0,000088.

Skul

Wyjaśnienie

Odległość Słońce–Neptun:

Odległość Słońca od najbliższej gwiazdy:

Stosunek obu odległości:

Poprzednie
Następne

Fizyka - wybrane pytania

Zadanie 2., strona 229, Fizyka. To jest fizyka. Klasa 8. Podręcznik - rozwiązania i odpowiedzi
Zadanie 20., strona 178, Zrozumieć fizykę 4. Zakres rozszerzony. Zbiór zadań - rozwiązania i odpowiedzi
Zadanie 16.5.10., strona 54, Zrozumieć fizykę 4. Zakres rozszerzony. Zbiór zadań - rozwiązania i odpowiedzi
Zadanie 19.8., strona 68, Zbiór zadań z fizyki dla szkoły podstawowej. Klasa 7-8 - rozwiązania i odpowiedzi
Zadanie 8.22., strona 35, Zbiór zadań z fizyki dla szkoły podstawowej. Klasa 7-8 - rozwiązania i odpowiedzi
Zadanie 1., strona 59, To jest fizyka. Klasa 7. Zeszyt ćwiczeń - rozwiązania i odpowiedzi
Zadanie 7.50., strona 103, Fizyka. Klasa 7-8. Zbiór zadań - rozwiązania i odpowiedzi
Ćwiczenie 12.54., strona 182, Fizyka. Klasa 1-3. Zakres podstawowy. Zbiór zadań - rozwiązania i odpowiedzi
Ćwiczenie doświadczenie 4., strona 24, Fizyka. To jest fizyka. Klasa 8. Podręcznik - rozwiązania i odpowiedzi
Zadanie 1., strona 158, Odkryć fizykę. Klasa 2. Podręcznik. Zakres podstawowy - rozwiązania i odpowiedzi
REKLAMA
Skul
Zadania z tego działu
Grawitacja i astronomia
149
Układ Słoneczny
150

Zadanie 1.

155

Podpunkt a)

155

Podpunkt b)

155

Podpunkt c)

155

Zadanie 2.

155

Zadanie 3.

155

Zadanie 4.

155

Zadanie 5.

155

Zadanie 6.

155
Prawo grawitacji
156

Zadanie 1.

161

Zadanie 2.

161

Zadanie 3.

161

Zadanie 4.

161

Zadanie 5.

161
Satelity. Prędkość orbitalna
162

Zadanie 1.

168

Zadanie 2.

168

Zadanie 3.

168

Zadanie 4.

168

Zadanie 5.

168
Wyznaczanie mas planet i gwiazd
169

Zadanie 1.

172

Zadanie 2.

172

Zadanie 3.

172

Zadanie 4.

172

Zadanie 5.

172
Nieważkość i przeciążenie
173

Zadanie 1.

180

Zadanie 2.

180

Zadanie 3.

180

Zadanie 4.

180

Zadanie 5.

180
Budowa Wszechświata
181

Zadanie 1.

186

Zadanie 2.

186

Zadanie 3.

186

Zadanie 4.

186

Zadanie 5.

186
Ewolucja Wszechświata
187

Zadanie 1.

192

Zadanie 2.

192

Zadanie 3.

192

Podpunkt a)

192

Podpunkt b)

192

Zadanie 4.

192

Zadanie 5.

192
Powtórzenie działu
193

Zadanie 1.

196

Zadanie 2.

196

Zadanie 3.

196

Zadanie 4.

196

Zadanie 5.

196

Zadanie 6.

196

Zadanie 7.

196

Zadanie 8.

196
Pełny spis treści
Skul
Artboard 1
Skul.pl
  • Napisz do nas
  • FAQ
  • Mapa Serwisu
  • Google Play
  • App Store

Korzystanie z portalu oznacza akceptację Regulaminu.
Polityka prywatności. Ustawienia preferencji. Copyright: INTERIA.PL 1999-2023 Wszystkie prawa zastrzeżone.