Odległości te byłby rzędu kilkunastu/kilkuset metrów. Przyjmując, że dynia reprezentująca Słońce ma średnicę 0,5 m, odległość do Neptuna wyniesie około 517 m.
Odległość Słońce−Neptun:
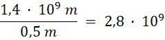
Średnica Słońca:
Średnica dyni:
0,5 m
Skala:
Odległość Słońce−Neptun w przyjętej skali: