W tym zadaniu musisz oszacować średnią energię kinetyczną protonu w temperaturze 20 milionów kelwinów i porównać ją z energią wyzwoloną w procesie
Mimo tak niskiej wartości energii fuzja termojądrowa zachodzi, co jest możliwe dzięki tunelowaniu kwantowemu, Jest to zjawisko przedostawania się części funkcji falowej przez barierę potencjału, co wskazuje niezerowe prawdopodobieństwo znalezienia cząstki po drugiej stronie bariery. Zjawisko to jest opisywane w ramach podstaw mechaniki kwantowej, jako rozwiązanie równania Schrödingera cząstki swobodnej, rozpraszanej na barierze potencjału. Okazuje się, iż w trakcie zderzenia część funkcji falowej penetruje barierę, a następnie separuje się na część odbitą i część po drugiej stronie bariery, o dużo mniejszej amplitudzie prawdopodobieństwa i zmienionej fazie.
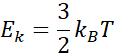
Zastosuj formułę na energię kinetyczną układu w temperaturze T:
Zadanie 13.
214Zadanie 14.
214Zadanie 15.
214Zadanie 5.
219Zadanie 11.
220Zadanie 1.
224Zadanie 2.
224Zadanie 15.
227Zadanie 1.
239Zadanie 9.
240Zadanie 11.
241Zadanie 12.
241Zadanie 13.
241Zadanie 16.
242Zadanie 21.
242Zadanie 23.
243Zadanie 25.
243Zadanie 4.
248Zadanie 5.
248Zadanie 15.
251Zadanie 16.
251Zadanie 5.
256Zadanie 6.
256Zadanie 7.
256Zadanie 8.
256Zadanie 1.
267Zadanie 2.
269Zadanie 3.
270