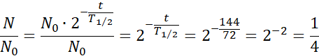
W tym zadaniu musisz wyznaczyć część jąder kobaltu, która ulegnie rozpadowi po 144 dobach.
Część, która nie uległa rozpadowi:
Część jąder pozostałych to stosunek jąder ulegających rozpadowi do ilości jąder początkowych. Rozpisz następnie
Zadanie 13.
214Zadanie 14.
214Zadanie 15.
214Zadanie 5.
219Zadanie 11.
220Zadanie 1.
224Zadanie 2.
224Zadanie 15.
227Zadanie 1.
239Zadanie 9.
240Zadanie 11.
241Zadanie 12.
241Zadanie 13.
241Zadanie 16.
242Zadanie 21.
242Zadanie 23.
243Zadanie 25.
243Zadanie 4.
248Zadanie 5.
248Zadanie 15.
251Zadanie 16.
251Zadanie 5.
256Zadanie 6.
256Zadanie 7.
256Zadanie 8.
256Zadanie 1.
267Zadanie 2.
269Zadanie 3.
270