W tym zadaniu musisz określić w procentach, jaką część całkowitej energii kinetycznej stanowi energia kinetyczna cząstki alfa w rozpadzie
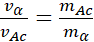
Z zasady zachowania pędu:
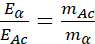
Całkowita energia kinetyczna:
Zatem:
Wykorzystaj zasadę zachowania pędu, by określić iloraz szybkości
Wstawiając dane liczbowe otrzymasz
Zadanie 13.
214Zadanie 14.
214Zadanie 15.
214Zadanie 5.
219Zadanie 11.
220Zadanie 1.
224Zadanie 2.
224Zadanie 15.
227Zadanie 1.
239Zadanie 9.
240Zadanie 11.
241Zadanie 12.
241Zadanie 13.
241Zadanie 16.
242Zadanie 21.
242Zadanie 23.
243Zadanie 25.
243Zadanie 4.
248Zadanie 5.
248Zadanie 15.
251Zadanie 16.
251Zadanie 5.
256Zadanie 6.
256Zadanie 7.
256Zadanie 8.
256Zadanie 1.
267Zadanie 2.
269Zadanie 3.
270