W tym zadaniu musisz zapisać reakcję rozpadu
Reakcja rozpadu:
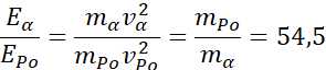
Stosunek energii kinetycznej cząstki alfa do energii kinetycznej jądra polonu:
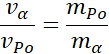
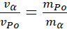
Z zasady zachowania pędu:
Stosunek szybkości:
Czyli:
Skorzystaj ze wzoru ogólnego na rozpad alfa:
Następnie ułóż stosunek energii kinetycznych. Wykorzystaj zasadę zachowania pędu, by określić iloraz szybkości
Zadanie 13.
214Zadanie 14.
214Zadanie 15.
214Zadanie 5.
219Zadanie 11.
220Zadanie 1.
224Zadanie 2.
224Zadanie 15.
227Zadanie 1.
239Zadanie 9.
240Zadanie 11.
241Zadanie 12.
241Zadanie 13.
241Zadanie 16.
242Zadanie 21.
242Zadanie 23.
243Zadanie 25.
243Zadanie 4.
248Zadanie 5.
248Zadanie 15.
251Zadanie 16.
251Zadanie 5.
256Zadanie 6.
256Zadanie 7.
256Zadanie 8.
256Zadanie 1.
267Zadanie 2.
269Zadanie 3.
270