W tym zadaniu musisz wyznaczyć liczbę atomów izotopu węgla-14 w 1 gramie węgla w żywym organizmie oraz jego aktywność.
Masę molową próbki wyznaczamy jako:
Podstawiając:
Stąd:
Aktywność
Liczbę jąder węgla-14 w 1 gramie węgla wyznacz z proporcji:
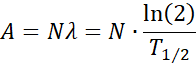
Aktywność z kolei możesz wyznaczyć jako:
Zadanie 13.
214Zadanie 14.
214Zadanie 15.
214Zadanie 5.
219Zadanie 11.
220Zadanie 1.
224Zadanie 2.
224Zadanie 15.
227Zadanie 1.
239Zadanie 9.
240Zadanie 11.
241Zadanie 12.
241Zadanie 13.
241Zadanie 16.
242Zadanie 21.
242Zadanie 23.
243Zadanie 25.
243Zadanie 4.
248Zadanie 5.
248Zadanie 15.
251Zadanie 16.
251Zadanie 5.
256Zadanie 6.
256Zadanie 7.
256Zadanie 8.
256Zadanie 1.
267Zadanie 2.
269Zadanie 3.
270