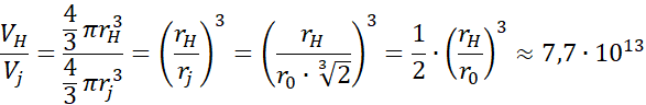
W tym zadaniu musisz wyznaczyć stosunek objętości atomu wodoru w stanie podstawowym do objętości jądra wodoru.
Oznaczając odpowiednio objętość atomu wodoru i jego jądra jako
Pamiętaj, iż objętość kuli wyraża się, jako:
Stosowanie tego wzoru do wyznaczenia objętości dowolnego jądra atomowego nie jest uzasadnionym działaniem, gdyż zgodnie z teorią jądra atomowego, jądra ulegają ciągłym transformacjom i kolektywnym ruchom. Jako, iż orbitale elektronowe są opisywane poprzez funkcje kuliste o różnych kształtach, a jądra atomowe mają zróżnicowane liczby nukleonów i stosunki
Promień wodoru przekształć, zgodnie z przybliżeniem modelu kroplowego:
Zadanie 13.
214Zadanie 14.
214Zadanie 15.
214Zadanie 5.
219Zadanie 11.
220Zadanie 1.
224Zadanie 2.
224Zadanie 15.
227Zadanie 1.
239Zadanie 9.
240Zadanie 11.
241Zadanie 12.
241Zadanie 13.
241Zadanie 16.
242Zadanie 21.
242Zadanie 23.
243Zadanie 25.
243Zadanie 4.
248Zadanie 5.
248Zadanie 15.
251Zadanie 16.
251Zadanie 5.
256Zadanie 6.
256Zadanie 7.
256Zadanie 8.
256Zadanie 1.
267Zadanie 2.
269Zadanie 3.
270