Przyporządkuj kolor koralika do prawdopodobieństwa ich wylosowania, wiedząc, że w pudełku znajduje się 12 zielonych koralików, 6 czerwonych, 4 żółte oraz 2 niebieskie.
Rozwiązanie
Wyjaśnienie
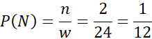
Najpierw oblicz ilość wszystkich kulek, sumując wszystkie kolory razem, a następnie oblicz prawdopodobieństwo wylosowania każdego z nich. Prawdopodobieństwo będzie odpowiadało stosunkowi kulek w danym kolorze do ilości wszystkich.