Zadanie

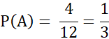
Oblicz prawdopodobieństwo wybrania pary kaloszy w rozmiarze, który jest liczbą nieparzystą, jeżeli w sklepie jest 12 par w następujących rozmiarach: 36, 37, 38, 39 - dwie pary, 40 - cztery pary.

Rozwiązanie

Wyjaśnienie

Zadania z tego działu
Wprowadzenie do rachunku prawdopodobieństwa
126