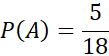
Wszystkie liczby: 18
Nieparzyste wielokrotności liczby 2 na kole: 2, 56, 10, 14 i 18 – jest ich 5.
Parzyste wielokrotności liczby 3 na kole: 6, 12 i 18 – jest ich 3.
Najpierw wypisz z koła wskazane wielokrotności i określ ich ilość. Następnie wyznacz prawdopodobieństwa obu zdarzeń, który odpowiada stosunkowi ilości tych liczb do wszystkich liczb znajdujących się na kole. Prawdopodobieństwo (P) obliczamy jako iloraz liczby korzystnych przypadków (A) przez liczbę wszystkich możliwych przypadków (S):