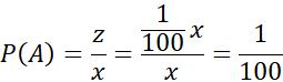
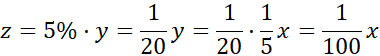
Liczba mieszkańców: x
Liczba emerytów:
Liczba osób powyżej 85 roku życia:
Przez niewiadomą x oznacz liczbę mieszkańców miasta, przez y – liczbę emerytów, a przez z – liczbę osób powyżej 85 roku życia. Następnie wyznacz prawdopodobieństwo wybrania osoby z grupy z jako stosunek liczby tych osób do liczby wszystkich mieszkańców.