Zadanie

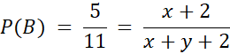
Ze zbioru kul czerwonych i czarnych mamy jedną trzecią szans na wylosowanie czerwonej, a jeżeli dołożymy jeszcze dwie, to szanse te wzrosną do pięciu jedenastych. Wybierz czy to prawda, czy fałsz.

W pudełku jest 6 kul czerwonych i są 3 kule czarne.PF
W pudełku są 3 kule czerwone i jest 6 kul czarnych.PF

Rozwiązanie

Wyjaśnienie

Zadania z tego działu
Wprowadzenie do rachunku prawdopodobieństwa
126