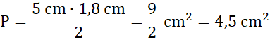
Jest to romb o przekątnych długości 5 cm i 1,8 cm.
Pole rombu:
Przykładowe boki, które dadzą nam takie pole:
4,5 cm i 2 cm. Sprawdzenie:
Wzór na pole rombu jest następujący:
gdzie e i f są długościami przekątnych rombu.
Wzór na pole trójkąta jest następujący:
gdzie a jest bokiem trójkąta, a h jest wysokością opuszczoną na ten bok trójkąta.
Możesz narysować trójkąt prostokątny o innych przyprostokątnych, np. 1,5 cm i 6 cm lub 3 cm i 3 cm.