Figura I jest trójkątem prostokątnym o podstawach 2,5 cm i 1 cm oraz wysokości 2 cm.
Figura II jest równoległobokiem o boku 2,5 cm i wysokości 2,5 cm z wyciętym dolnym trójkątem o podstawie 2,5 cm i wysokości 1 cm.
Figura III składa się z trapezu prostokątnego o wysokości 2 cm i podstawach 1 cm i 4 cm oraz trójkąta prostokątnego o przyprostokątnych długości 4 cm i 1 cm.
Figura IV jest trójkątem o podstawie długości 3 cm i wysokości 2,5 cm.
Figura V składa się z trapezu o podstawach 4,5 cm i 3 cm oraz wysokości 1 cm oraz z trójkąta rozwartokątnego o podstawie 3 cm i wysokości 1,5 cm.
Figurę VI otrzymamy, wycinając z prostokąta o wymiarach 6 cm na 2,5 cm trzy trójkąty prostokątne o parach przeciwprostokątnych: 0,5 cm na 4 cm, 6 cm na 2 cm, 2,5 cm na 2 cm.
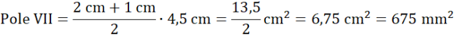
Figura VII jest trapezem prostokątnym o podstawach 2 cm na 1 cm i wysokości 4,5 cm.
Figura VIII składa się z dwóch trapezów: pierwszy o podstawach 2,5 cm i 4,5 cm oraz wysokości 1 cm, drugi o podstawach 4,5 cm i 2,5 cm oraz wysokości 2,5 cm
Figura IX składa się z prostokąta 1 cm na 3 cm z wyciętym trójkącikiem pośrodku oraz z trójkąta prostokątnego o przyprostokątnych 3 cm i 1,5 cm oraz trójkąta o wysokości 1 cm i podstawie 1,5 cm.
| Wielokąt | I | II | III | IV | V | VI | VII | VIII | IX |
| Pole [mm2] | 350 | 500 | 700 | 250 | 600 | 550 | 675 | 1050 | 550 |
By obliczyć pole równoległoboku, należy pomnożyć przez siebie jeden z jego boków i wysokość opuszczoną na ten bok (wysokość musi leżeć pod kątem prostym do boku). Wysokość może znajdować się na przedłużeniu boku równoległoboku.
Wzór na pole trapezu jest następujący:
gdzie a i b są podstawami trapezu, a h jest wysokością trapezu opuszczoną na te podstawy.
Wzór na pole trójkąta jest następujący:
gdzie a jest bokiem trójkąta, a h jest wysokością opuszczoną na ten bok trójkąta.
Wzór na pole rombu jest następujący:
gdzie e i f są długościami przekątnych rombu.