Przypomnij sobie, jak się mnoży ułamki zwykłe i wykonaj zadanie. Zaobserwuj, jak zmienia się przecinek przy wyniku.
Najpierw zamień ułamki dziesiętne na zwykłe. W wyniku są 3 cyfry po przecinku.
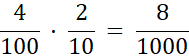
Pierwszy czynnik ma dwie cyfry po przecinku, a drugi ma jedną cyfrę po przecinku.
Ćwiczenie Ćwiczenie A.
142Zadanie 1.
144Zadanie 3.
144Zadanie 4.
144Zadanie 7.
144Zadanie 10.
145Zadanie Super zagadka
145Zadanie 1.
146Zadanie 4.
147Ćwiczenie Ćwiczenie A.
148Ćwiczenie Ćwiczenie C.
148Ćwiczenie Ćwiczenie D.
149Zadanie 2.
149Zadanie 3.
150Zadanie 4.
150Zadanie 8.
150Ćwiczenie Ćwiczenie B.
151Zadanie 1.
152Zadanie 2.
152Zadanie 3.
152Zadanie 4.
153Zadanie 5.
153Zadanie 1.
155Zadanie 2.
155Zadanie 6.
156Zadanie 1.
157Zadanie 4.
158Zadanie 7.
158Ćwiczenie Ćwiczenie A.
159Ćwiczenie Ćwiczenie C.
160Zadanie 3.
160Zadanie 4.
160Ćwiczenie Ćwiczenie A.
162Zadanie 1.
162Zadanie 2.
163Zadanie 4.
163Zadanie 7.
163Ćwiczenie Ćwiczenie.
164Zadanie 2.
165Zadanie 3.
165Zadanie 6.
166Zadanie 7
166Zadanie 9.
166Ćwiczenie Ćwiczenie.
167Zadanie 1.
167Zadanie 2.
168Zadanie 3.
168Zadanie 7.
168Ćwiczenie Ćwiczenie.
169Zadanie 1.
169Zadanie 3.
170Zadanie 5.
170Zadanie 1.
172Zadanie 2
172Zadanie 3.
172Zadanie 5.
172Zadanie 1.
176Zadanie 2.
176Zadanie 5.
177Zadanie 13
178Zadanie 14.
178