Wypisz dane z zadania, oblicz, jaka część pola to 3,25 ha potem oblicz, jaki obszar obsiano zbożami jarymi, a jaki roślinami okopowymi. Wykonaj mnożenie.
całe pole –
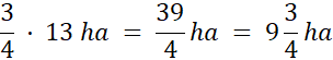
Pozostała część pola, czyli 3,25 ha to
Z tego wynika, że całe pole miało 13 ha.
Ćwiczenie Ćwiczenie A.
142Zadanie 1.
144Zadanie 3.
144Zadanie 4.
144Zadanie 7.
144Zadanie 10.
145Zadanie Super zagadka
145Zadanie 1.
146Zadanie 4.
147Ćwiczenie Ćwiczenie A.
148Ćwiczenie Ćwiczenie C.
148Ćwiczenie Ćwiczenie D.
149Zadanie 2.
149Zadanie 3.
150Zadanie 4.
150Zadanie 8.
150Ćwiczenie Ćwiczenie B.
151Zadanie 1.
152Zadanie 2.
152Zadanie 3.
152Zadanie 4.
153Zadanie 5.
153Zadanie 1.
155Zadanie 2.
155Zadanie 6.
156Zadanie 1.
157Zadanie 4.
158Zadanie 7.
158Ćwiczenie Ćwiczenie A.
159Ćwiczenie Ćwiczenie C.
160Zadanie 3.
160Zadanie 4.
160Ćwiczenie Ćwiczenie A.
162Zadanie 1.
162Zadanie 2.
163Zadanie 4.
163Zadanie 7.
163Ćwiczenie Ćwiczenie.
164Zadanie 2.
165Zadanie 3.
165Zadanie 6.
166Zadanie 7
166Zadanie 9.
166Ćwiczenie Ćwiczenie.
167Zadanie 1.
167Zadanie 2.
168Zadanie 3.
168Zadanie 7.
168Ćwiczenie Ćwiczenie.
169Zadanie 1.
169Zadanie 3.
170Zadanie 5.
170Zadanie 1.
172Zadanie 2
172Zadanie 3.
172Zadanie 5.
172Zadanie 1.
176Zadanie 2.
176Zadanie 5.
177Zadanie 13
178Zadanie 14.
178