Liczby podane w tabeli musisz zapisać w tej samej postaci. Następnie dopasuj te same liczby do siebie.
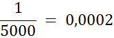
Zamień ułamki zwykłe na dziesiętne i dopasuj. Abyś mógł napisać ten ułamek w postaci dziesiętnej, w mianowniku powinno być 10, 100 lub 1000. Rozszerz ułamek, aby w mianowniku było 10 000.
Teraz z łatwością możesz odczytać ułamek dziesiętny. Liczba w mianowniku ma cztery zera, więc będą cztery cyfry po przecinku: 0,0002.
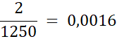
Liczba w mianowniku ma cztery zera, więc będą cztery cyfry po przecinku: 0,0016.
Liczba w mianowniku ma dwa zera, więc będą dwie cyfry po przecinku: 0,12
Liczba w mianowniku ma dwa zera, więc będą dwie cyfry po przecinku: 0,75
Liczba w mianowniku ma pięć zer, więc będzie pięć cyfr po przecinku: 0,00004
Teraz dopasuj do siebie te same liczby.
Ćwiczenie 2
115Ćwiczenie 3
115Ćwiczenie 4
116Ćwiczenie 5
116Zadanie 1
116Zadanie 2
117Zadanie 4
117Zadanie 5
117Zadanie 6
117Ćwiczenie Wprowadzające 1
118Ćwiczenie 2
119Zadanie 2
119Zadanie 4
120Zadanie 7
120Zadanie 3
123Zadanie 4
124Ćwiczenie 1
126Ćwiczenie 2
126Ćwiczenie 4
128Zadanie 1
128Zadanie 4
129Ćwiczenie 1
131Ćwiczenie 2
131Ćwiczenie 3
132Ćwiczenie 4
132Zadanie 1
132Zadanie 2
132Ćwiczenie 1
134Ćwiczenie 3
135Ćwiczenie 1
137Ćwiczenie 2
137Ćwiczenie 3
137Ćwiczenie 4
137Ćwiczenie 5
138Zadanie 1
138Zadanie 2
138Zadanie 5
138Ćwiczenie 1
140Ćwiczenie 3
141Zadanie 3
141Zadanie 6
141Ćwiczenie 1
143Ćwiczenie 2
143Ćwiczenie 3
144Zadanie 4
144Ćwiczenie 1
146Ćwiczenie 2
147Ćwiczenie 3
147Ćwiczenie 4
147Ćwiczenie 6
148Ćwiczenie 1
150Ćwiczenie 2
151Ćwiczenie 3
152Zadanie 4
152Zadanie 5
152Zadanie 6
152Ćwiczenie 1
153Zadanie 1
154Zadanie 3
154Zadanie 4
154Zadanie 5
154Ćwiczenie 1
155Ćwiczenie 3
156Ćwiczenie 4
157Ćwiczenie 5
157Ćwiczenie 6
158Zadanie 1
158Zadanie 2
158Zadanie 5
159Zadanie 10
164Zadanie 11
164Zadanie 14
164Zadanie 15
164