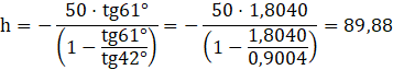
Wylicz, ile mierzy komin, jeśli jego wierzchołek widać z powierzchni ziemi pod kątem
Odpowiedź: Około 89,88 m.
Wyznaczamy wartości funkcji trygonometrycznych, aby zawrzeć w tym stosunku szukaną długość. Wyznaczamy wysokość odczytując wartości z tablic i obliczamy.
Ćwiczenie 1.
180Ćwiczenie 2.
180Ćwiczenie 3.
181Ćwiczenie 4.
181Ćwiczenie 5.
181Ćwiczenie 6.
182Ćwiczenie 7.
182Zadanie 1.
182Zadanie 3.
182Zadanie 4.
182Zadanie 6.
183Zadanie 7.
183Zadanie 12.
183Zadanie 13.
183Zadanie 14.
184Zadanie 17.
184Zadanie 18.
184Ćwiczenie 3.
186Zadanie 1.
186Zadanie 4.
187Zadanie 7.
187Zadanie 8.
187Zadanie 9.
187Ćwiczenie 1.
188Ćwiczenie 2.
188Ćwiczenie 3.
189Zadanie 5.
189Zadanie 6.
190Zadanie 11.
190Ćwiczenie 1.
191Ćwiczenie 2.
192Ćwiczenie 3.
192Zadanie 1.
192Zadanie 2.
192Zadanie 3.
192Zadanie 5.
193Zadanie 7.
193Zadanie 12.
193Ćwiczenie 1.
194Ćwiczenie 2.
195Ćwiczenie 3.
195Ćwiczenie 4.
195Ćwiczenie 5.
196Zadanie 1.
196Zadanie 2.
196Zadanie 3.
196Zadanie 4.
196Zadanie 5.
197Zadanie 6.
197Zadanie 7.
197Zadanie 8.
197Zadanie 9.
197Zadanie 10.
197Zadanie 11.
197Ćwiczenie 1.
199Ćwiczenie 2.
197Ćwiczenie 3.
200Ćwiczenie 4.
200Ćwiczenie 6.
202Ćwiczenie 8.
202Ćwiczenie 9.
202Zadanie 1.
202Zadanie 2.
202Zadanie 3.
202Zadanie 4.
203Zadanie 5.
203Zadanie 6.
203Zadanie 7.
203Zadanie 8.
203Zadanie 9.
203Zadanie warto powtórzyć 1
204Zadanie warto powtórzyć 2
204Ćwiczenie 1.
205Ćwiczenie 2.
205Ćwiczenie 3.
205Ćwiczenie 4.
205Ćwiczenie 5.
205Ćwiczenie 7.
206Ćwiczenie 8.
206Zadanie 1.
207Zadanie 2.
207Zadanie 3.
207Zadanie 5.
207Zadanie 9.
208Ćwiczenie 3.
209Ćwiczenie 4.
209Ćwiczenie 6.
210Ćwiczenie 7.
210Zadanie 1.
211Zadanie 2.
211Zadanie 3.
211Zadanie 4.
211Zadanie 8.
211Zadanie 9.
212Zadanie 11.
212Zadanie 3.
216Zadanie 4.
216Zadanie 5.
216Zadanie 6.
216Zadanie 7.
216Zadanie 9.
217Zadanie 4.
218Zadanie 8.
218Zadanie 9.
218Zadanie 10.
218Zadanie 11.
218Zadanie 5.
222Zadanie 7.
222