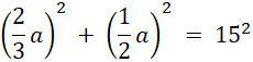
Wykaż, podane twierdzenie korzystając z twierdzenia Pitgorasa.
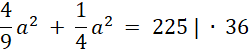
Długość wysokości trójkąta jest równa
Obwód jest zatem równy 15 cm + 15 cm + 18 cm = 48 cm
Oblicz za pomocą twierdzenia Pitagorasa długość wysokości i boku trójkąta.
Zadanie 1.
218Zadanie 3.
219Zadanie 5.
220Zadanie 9.
221Zadanie 10.
222Zadanie 12.
223Zadanie 19.
224Zadanie 20.
224Zadanie 1.
227Zadanie 3.
227Zadanie 4.
228Zadanie 8.
229Zadanie 10.
229Ćwiczenie Ćwiczenie 1.
230Ćwiczenie Ćwiczenie 2.
230Zadanie 3.
233Zadanie 4.
233Zadanie 5.
234Zadanie 6.
234Zadanie 7.
234Ćwiczenie Wyzwanie
235Ćwiczenie Ćwiczenie 2.
235Zadanie 1.
236Zadanie 2.
237Zadanie 3.
237Zadanie 8.
238Zadanie 2.
246Zadanie 4.
246Zadanie 6.
246Zadanie 7.
247Zadanie 8.
247Zadanie 13.
247Zadanie 14.
247