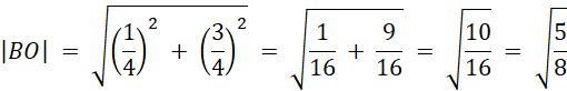
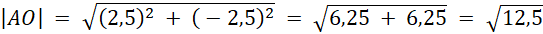
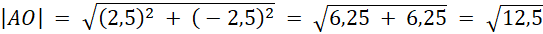
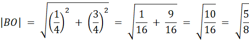
Oblicz odległość od początku układu współrzędnych punktów o danych współrzędnych.
Odległość dowolnego punktu K o współrzędnych (a, b) od początku O = (0,0) układu współrzędnych jest równa:
Zadanie 1.
218Zadanie 3.
219Zadanie 5.
220Zadanie 9.
221Zadanie 10.
222Zadanie 12.
223Zadanie 19.
224Zadanie 20.
224Zadanie 1.
227Zadanie 3.
227Zadanie 4.
228Zadanie 8.
229Zadanie 10.
229Ćwiczenie Ćwiczenie 1.
230Ćwiczenie Ćwiczenie 2.
230Zadanie 3.
233Zadanie 4.
233Zadanie 5.
234Zadanie 6.
234Zadanie 7.
234Ćwiczenie Wyzwanie
235Ćwiczenie Ćwiczenie 2.
235Zadanie 1.
236Zadanie 2.
237Zadanie 3.
237Zadanie 8.
238Zadanie 2.
246Zadanie 4.
246Zadanie 6.
246Zadanie 7.
247Zadanie 8.
247Zadanie 13.
247Zadanie 14.
247