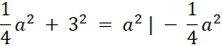
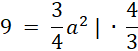
Oblicz pole trójkąta równobocznego, którego wysokość jest równa
Wysokość trójkąta dzieli podstawę na połowy, powstaje trójkąt prostokątny, gdzie połowa długości boku i wysokość są przyprostokątnymi, a drugi bok jest przeciwprostokątną. Można zastosować twierdzenie Pitagorasa:
Zadanie 1.
218Zadanie 3.
219Zadanie 5.
220Zadanie 9.
221Zadanie 10.
222Zadanie 12.
223Zadanie 19.
224Zadanie 20.
224Zadanie 1.
227Zadanie 3.
227Zadanie 4.
228Zadanie 8.
229Zadanie 10.
229Ćwiczenie Ćwiczenie 1.
230Ćwiczenie Ćwiczenie 2.
230Zadanie 3.
233Zadanie 4.
233Zadanie 5.
234Zadanie 6.
234Zadanie 7.
234Ćwiczenie Wyzwanie
235Ćwiczenie Ćwiczenie 2.
235Zadanie 1.
236Zadanie 2.
237Zadanie 3.
237Zadanie 8.
238Zadanie 2.
246Zadanie 4.
246Zadanie 6.
246Zadanie 7.
247Zadanie 8.
247Zadanie 13.
247Zadanie 14.
247