Oznaczmy długość boku większego kwadratu jako a.
Bok zmniejszony o 50% jest połową początkowego boku.
Pole początkowego kwadratu: a2
Pole mniejszego kwadratu:
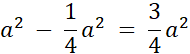
Różnica pola:
Procentowa zmiana:
Pole zmniejszyło się o 75%.
Żeby obliczyć procentową zmianę pola, dzielimy różnicę pola przez pole początkowe i mnożymy razy 100%.