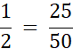
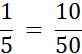
Na diagramie prostokątnym każda kratka reprezentuje taką samą wartość. Sprowadzamy wszystkie ułamki do wspólnego mianownika – będzie on całkowitą liczbą kratek naszego diagramu.
Ołówkiem:
Kredkami:
Plakatówkami:
Akwarelami:
Więc cały diagram będzie miał 50 kratek, odpowiedź „ołówkiem” zajmie 10 z nich, odpowiedź „kredkami” zajmie 10 z nich, odpowiedź „akwarelami” zajmie 10 z nich, a odpowiedź „plakatówkami” zajmie 10 z nich.