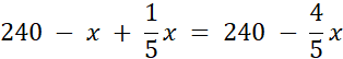
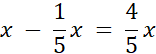
x – liczba figurek Tomka
240 – x – liczba figurek Adama
20% figurek Adama Tomka to:
Figurki Tomka, gdy oddał 20% Adamowi:
Figurki Adama, gdy Tomek oddał mu swoje 20%:
240 – x = 240 – 150 = 90
Tomek miał 150 figurek, a Adam 90 figurek.
Oznaczmy liczbę figurek Tomka jako x, wtedy 240 – x to liczba modeli Adama, obliczamy, ile figurek ma każdy z chłopców i układamy równanie, wiedząc, że te wartości są równe.
Zamieniamy procent na ułamek. Procent to ułamek, który w liczniku ma liczbę procent, a w mianowniku liczbę 100.