Masa pozostałych grzybów: 10 – 8 = 2 kg = 200 dag
Masa wody w pozostałych grzybach:
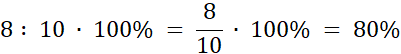
Procent świeżych grzybów, jakim była odparowana woda:
W odparowanych grzybach jest jeszcze 80 dag wody, odparowane 8 kg wody stanowi 80% 10 kg świeżych grzybów.
1 kg = 100 dag. Żeby obliczyć procent z liczby, najpierw zamieniamy procent na ułamek. Procent to ułamek, który w liczniku ma liczbę procent, a w mianowniku liczbę 100. Następnie mnożymy powstały ułamek razy liczbę. Żeby obliczyć procentową zawartość wody w grzybach, dzielimy masę wody przez masę wody i mnożymy razy 100%.