A. 30 000 km2
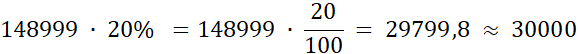
Azja stanowi 20% całej powierzchni lądów na Ziemi. Żeby obliczyć procent z liczby, najpierw zamieniamy procent na ułamek. Procent to ułamek, który w liczniku ma liczbę procent, a w mianowniku liczbę 100. Następnie mnożymy powstały ułamek razy liczbę.
Cyfra setek 29799,8 jest większa lub równa 5, więc zaokrąglamy w górę do 30000.