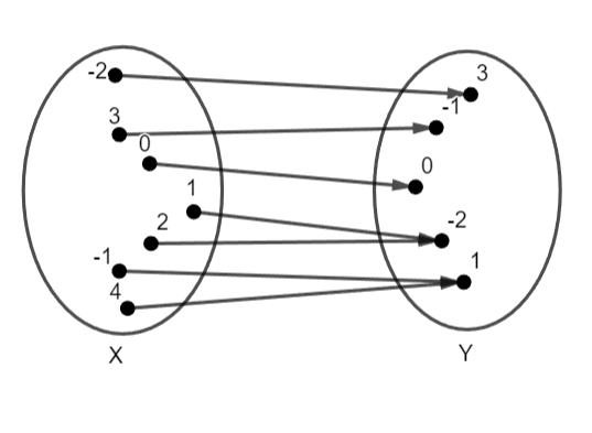
Określ zbiór wartości dla funkcji f, która jest przedstawiona w postaci tabeli. Narysuj graf dla tej funkcji. Funkcja f przyjmuje wartość ujemną dla ilu argumentów?
ZW = {-2, -1, 0, 1, 3}
Funkcja f przyjmuje wartość ujemną dla 3 argumentów.
Zbiór wartości to inaczej f(x) albo y. Wypisz wszystkie liczby z dolnej części tabeli jako zbiór wartości. Narysuj graf, bazując na informacjach z tabeli. Funkcja f przyjmuje wartość ujemną dla 3 argumentów – dla 1, 2 oraz 3.
Zadanie Na początek
108Ćwiczenie 1.
109Ćwiczenie 2.
110Ćwiczenie 3.
111Zadanie 1.
111Zadanie 2.
111Zadanie 3.
111Zadanie 4.
111Ćwiczenie 2.
113Zadanie To się liczy!
113Zadanie 1.
114Zadanie 2.
114Zadanie 3.
114Zadanie 4.
114Zadanie 5.
114Zadanie branżowe 6.
114Zadanie branżowe 7.
114Ćwiczenie 2.
116Zadanie To się liczy!
117Ćwiczenie 1.1.
119Ćwiczenie 1.3.
119Ćwiczenie 2.
120Ćwiczenie 3.
120Ćwiczenie 4.
122Zadanie 1.
123Zadanie 2.
123Ćwiczenie 1.
124Ćwiczenie 2.
125Zadanie 1.
125Zadanie 2.
125Ćwiczenie 1.
127Ćwiczenie 2.
127Ćwiczenie 4.
129Ćwiczenie 5.
130Zadanie branżowe 2.
130Zadanie branżowe 3.
130Zadanie Na początek
131Ćwiczenie 1.
131Ćwiczenie 2.
132Ćwiczenie 3.
133Ćwiczenie 4.
134Zadanie 1.
134Zadanie 2.
135Zadanie branżowe 3.
135Zadanie branżowe 4.
135Ćwiczenie 2.
137Zadanie 1.
138Zadanie 2.
138Ćwiczenie 2.
140Zadanie 1.
141Zadanie 2.
141Ćwiczenie 1.1.
143Ćwiczenie 1.2.
143Ćwiczenie 2.2.
145Zadanie 1.
145Zadanie 2.
145Ćwiczenie 1.
146Zadanie branżowe 4.
147Zadanie 4.
148Zadanie 5.
148Zadanie 3.
149Zadanie 6.
149