Skul.pl
  • Opracowania zadań z podręczników
  • Matematyka. Klasa 7. Zeszyt ćwiczeń - rozwiązania i odpowiedzi
  • Zadanie 2.

Matematyka. Klasa 7. Zeszyt ćwiczeń - rozwiązania i odpowiedzi

Zeszyt ćwiczeń, Wydawnictwo: WSiP
Poprzednie

Zadanie 2. - strona 65

Następne

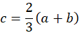
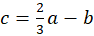
Zadanie

Która odpowiedź nie jest równoważna do 2(a + b) = 3c

Rozwiązanie

2(a + b) = 3c

Zatem odp. B. jest fałszywa

B.

Skul

Wyjaśnienie

W zadaniu wyznacz kolejno lewe strony równania i porównaj ją w prawymi, alternatywnie możesz wyznaczyć daną zmienna i przyrównać ją, jeśli są równania są równe otrzymasz 0 = 0.

Poprzednie
Następne

Matematyka - wybrane pytania

Ćwiczenie 6., strona 155, Matematyka wokół nas. Klasa 8. Podręcznik - rozwiązania i odpowiedzi
Zadanie 64., strona 51, Nowa teraz matura 4. Poziom rozszerzony. Zbiór zadań - rozwiązania i odpowiedzi
Zadanie 2.19, strona 113, Prosto do matury. Matematyka. Klasa 1. Zakres podstawowy. Podręcznik - rozwiązania i odpowiedzi
Zadanie 28, strona 12, Matura z matematyki. Arkusz próbny. Poziom podstawowy. Marzec 2021
Zadanie 7.21., strona 179, Prosto do matury. Klasa 3. Zakres podstawowy. Podręcznik - rozwiązania i odpowiedzi
Zadanie 26, strona 42, Matematyka. Klasa 5. Podręcznik - rozwiązania i odpowiedzi
Zadanie 10., strona 310, Prosto do matury. Matematyka. Klasa 2. Zakres podstawowy. Podręcznik - rozwiązania i odpowiedzi
Zadanie 3.17, strona 424, Matematyka. Prosto do matury. Klasa 1. Zakres podstawowy i rozszerzony. Podręcznik - rozwiązania i odpowiedzi
Zadanie Minisprawdzian 4, strona 168, Matematyka z plusem. Klasa 2. Podręcznik. Zakres podstawowy - rozwiązania i odpowiedzi
Zadanie 4., strona 84, Matematyka z Plusem. Klasa 4. Podręcznik – rozwiązania i odpowiedzi
REKLAMA
Skul
Zadania z tego działu
5. Równania
55
5.1. Przykłady równań
55

Zadanie 1.

55

Zadanie 2.

55

Zadanie 3.

55

Zadanie 4.

55

Zadanie 5.

56

Podpunkt a)

56

Podpunkt b)

56

Zadanie 6.

56

Podpunkt a)

56

Podpunkt b)

56

Podpunkt c)

56

Zadanie 7.

56

Zadanie 8.

56
5.2. Rozwiązywanie równań
57

Zadanie 1.

57

Zadanie 2.

57

Zadanie 3.

57

Podpunkt a)

57

Podpunkt b)

57

Podpunkt c)

57

Podpunkt d)

57

Zadanie 4.

58

Zadanie 5.

58

Podpunkt a)

58

Podpunkt b)

58

Podpunkt c)

58

Zadanie 6.

59

Podpunkt a)

59

Podpunkt b)

59

Zadanie 7.

60

Podpunkt a)

60

Podpunkt b)

60

Podpunkt c)

60

Podpunkt d)

60
5.3. Zadania tekstowe
61

Zadanie 1.

61

Zadanie 2.

61

Zadanie 3.

61

Zadanie 4.

61

Zadanie 5.

62

Zadanie 6.

62

Zadanie 7.

62
5.4. Wielkości wprost proporcjonalne
63

Zadanie 1.

63

Zadanie 2.

63

Zadanie 3.

63

Zadanie 4.

63

Zadanie 5.

63

Zadanie 6.

64

Zadanie 7.

64

Podpunkt a)

64

Podpunkt b)

64

Zadanie 8.

64

Zadanie 9.

64
5.5. Przekształcanie wzorów
65

Zadanie 1.

65

Zadanie 2.

65

Zadanie 3.

65

Zadanie 4.

65

Podpunkt a)

65

Podpunkt b)

65

Zadanie 5.

66

Podpunkt a)

66

Podpunkt b)

66

Podpunkt c)

66

Zadanie 6.

66

Zadanie 7.

66

Podpunkt a)

66

Podpunkt b)

66
Pełny spis treści
Skul
Artboard 1
Skul.pl
  • Napisz do nas
  • FAQ
  • Mapa Serwisu
  • Google Play
  • App Store

Korzystanie z portalu oznacza akceptację Regulaminu.
Polityka prywatności. Ustawienia preferencji. Copyright: INTERIA.PL 1999-2023 Wszystkie prawa zastrzeżone.